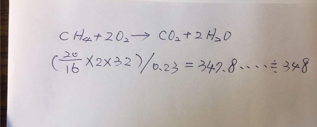
7.試問20公斤天然氣(CH4)完全燃燒時,所需理論空氣量約為多少公斤?
(A)195
(B)267
(C)307
(D)348 .
答案:登入後查看
統計: A(238), B(380), C(241), D(813), E(0) #2301727
統計: A(238), B(380), C(241), D(813), E(0) #2301727
