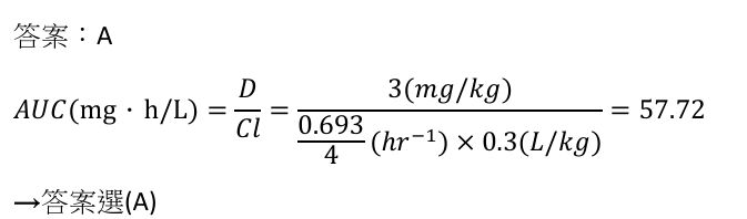
74.某病人因尿路感染接受gentamicin靜脈注射3 mg/kg QD治療,此病人達穩定狀態時,其24小時給藥 間隔內之
約為多少mg.h/L?(gentamicin之
=4 h;
=0.3 L/kg)
(A)57.8
(B)51.5
(C)45.9
(D)63.2
答案:登入後查看
統計: A(2114), B(112), C(123), D(93), E(0) #3380785
統計: A(2114), B(112), C(123), D(93), E(0) #3380785
