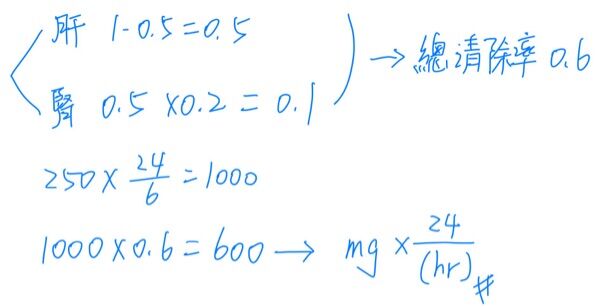
74.Tetracycline 劑量中 50%會以原形經尿液(fe=0.5)排泄,其建議投藥劑量為 250 mg Q6H。某病人之腎功 能為成人正常腎功能之 20%,應如何投與最適當?
(A)250 mg Q8H
(B)300 mg BID
(C)250 mg BID
(D)150 mg Q8H
答案:登入後查看
統計: A(3), B(51), C(3), D(5), E(0) #3818629
統計: A(3), B(51), C(3), D(5), E(0) #3818629
