77.某抗生素在體內完全由腎臟排泄,以靜脈注射單劑量400 mg於腎功能損傷病人後,血中濃度(Cp)之變化可 用Cp (mg/L)=10e-0.2t來描述,t之單位為h。該病人肌酸酐清除率由入院時之50 mL/min上升至100 mL/min。若 欲持續給與此抗生素並將血中濃度維持在20 mg/L,則靜脈恆速輸注速率應為若干mg/min?
(A)1.0
(B)2.0
(C)2.67
(D)5.33
答案:登入後查看
統計: A(292), B(1370), C(1990), D(3011), E(0) #1837575
統計: A(292), B(1370), C(1990), D(3011), E(0) #1837575
詳解 (共 8 筆)
#2936534
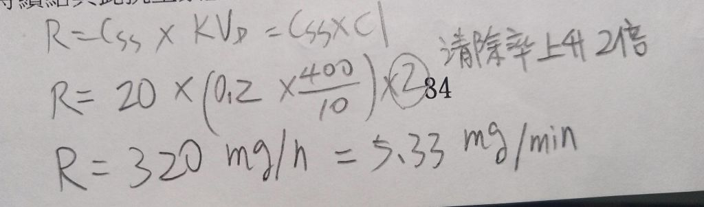
1.先計算靜脈注射單劑量VD、k
Cp = C x e-kt = 10 x e-0.2
C =10 = 400/VD,VD = 40L
k = 0.2 hr-1
2.再計算靜脈輸注速率
R = Css x VD x k
= 20 x 40 x 0.4 (住院後排除速率變為2倍)
= 320 mg/hr (注意單位換算!)
= 5.33 mg/min
選(D)
280
1
#3752705
小心單位~~
25
0
#3936107
50mL/min & 100mL/min為creatinine之清除率,非抗生素之清除率,所以計算靜脈輸注速率藥另外求抗生素之清除率
23
0
#4731257

9
0
#4751789
CLcr變成兩倍 => k變成兩倍
先把CL求出來再用 Css=R/CL 去求R
(別看到清除率三個字就直接把他當成CL,算出來會變成4 出題的都設好陷阱了)
8
0