阿摩線上測驗
登入
首頁
>
研究所、轉學考(插大)◆電磁學
>
108年 - [無官方正解]108 臺灣綜合大學系統_學士班轉學生聯合招生考試試題:電磁學#139123
> 試題詳解
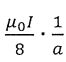
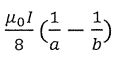
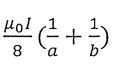
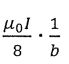
9. 如圖3所示,P點的磁場大小為?
(A)0
(B)
(C)
(D)
(E)
答案:
登入後查看
統計:
尚無統計資料
相關試題
1. 以下對電力(場)線的敘述,何者為非? (A)靜電力線絡是由正電荷開始,且終止於負電荷 (B)起始或終結的電力線數,正比於電荷的大小 (C)電力線上各點的切線方向代表該點的電場方向 (D)電場強度正比於電力線的密度 (E)電力線可相交
#3869744
2. 如圖1所示,假設r>>d,則在距離電偶極中心r處的電場為? (A)(B) (C) (D) (E)
#3869745
3. 一實心零電球半徑R,總帶電量為Q,則其內部距球心r(r<R)處的電場為? (A) (B)(C) (D) (E)
#3869746
4. 某區域的電場為=(Ar̂+Bsinθcosφ φ̂)/r(球座標系統),其中A和B為常數,則該電場對應的電荷密度為? (A)ε₀(A+Bsinφ)/r² (B)ε₀(A+Bsinφ)/r² (C)ε₀(A-Bsinθ)/r² (D)ε₀(A+Bsinθ)/r² (E)A-B
#3869747
5. 兩同心金屬球,內徑為a(帶電Q),外徑為b(帶電-Q),則其電容值為? (A)(B) (C) (D) (E)
#3869748
6. 請判斷Ē₁=k[xyẑ+2yzŷ+3xzẑ]及Ē₂=k[y²ẑ+(2xy+z²)ŷ+2yzẑ]兩電場是否為靜電場?其中k為一適當單位的常數。 (A)是不是 (B)不是是 (C)都是 (D)都不是 (E)無法判斷
#3869749
7. 如圖2所示,若q=+2.0nC,Q=-3.0nC,則AB兩點的電位差VA-VB為? (A)+60V (B)+72V (C)+84V (D)+96V (E)+48V
#3869750
8. 空間中一電場分佈為,若以無窮遠處為零點,則點(2,0,0)的電位為? (A)-1 (B)-1/2 (C)-1/4 (D)1/2 (E)1/4
#3869751
10. 兩長直導線相距d,流有相同方向、數值分別為I₁、I₂的電流,則I₂所受單位長度的磁力為? (A),排斥力 (B),吸引力 (C),排斥力 (D),吸引力 (E)0
#3869753
11. 一帶電荷q、質量m的粒子,以速度v射入均勻磁場B̄=Bẑ的x-y平面,則該粒子的運動週期為? (A) (B) (C)(D) (E)2π
#3869754
相關試卷
114年 - 114 台灣聯合大學系統_碩士班招生考試試題_電機類:電磁學#138442
2025 年 · #138442
113年 - 113 台灣聯合大學系統_碩士班招生考試試題_電機類:電磁學#138444
2024 年 · #138444
112年 - [無官方正解]112 台灣聯合大學系統_碩士班招生考試試題_電機類:電磁學#138446
2023 年 · #138446
111年 - 111 台灣聯合大學系統_碩士班招生考試試題_電機類:電磁學#138448
2022 年 · #138448
110年 - 110 國立臺灣大學_碩士班招生考試_電信工程研究所甲組:電磁學及電磁波#113085
2021 年 · #113085
110年 - 110 國立臺灣科技大學_碩士班招生試題_電子工程系(丙組):電磁學#112842
2021 年 · #112842
110年 - 110 國立臺灣科技大學_碩士班招生試題_光電工程系:電磁學#111696
2021 年 · #111696
110年 - 110 國立臺北科技大學_碩士班招生考試_光電工程系碩士班:電磁學#108271
2021 年 · #108271
110年 - 110台灣聯合大學系統_碩士班招生考試_電機類:電磁學#105808
2021 年 · #105808
110年 - 110 國立中央大學_碩士班招生考試_光電類:電磁學#105700
2021 年 · #105700