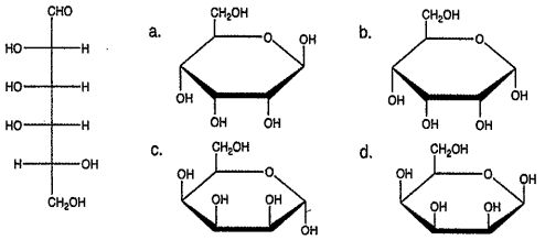
9. Which of the following would be the correct Haworth projection for B-D-talose (linear form is shown on the left)?
(A) a
(B) b
(C) c
(D) d
(E) none of the above
答案:登入後查看
統計: 尚無統計資料
統計: 尚無統計資料