阿摩線上測驗
登入
首頁
>
技檢◆數位電子-甲級
>
114年 - 11700 數位電子 甲級 工作項目 05:電子學與電子電路 51-100(2025/12/12 更新)#134859
> 試題詳解
試題詳解
試卷:
114年 - 11700 數位電子 甲級 工作項目 05:電子學與電子電路 51-100(2025/12/12 更新)#134859 |
科目:
技檢◆數位電子-甲級
試卷資訊
試卷名稱:
114年 - 11700 數位電子 甲級 工作項目 05:電子學與電子電路 51-100(2025/12/12 更新)#134859
年份:
114年
科目:
技檢◆數位電子-甲級
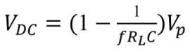
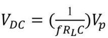
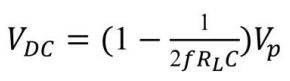
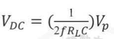
98. 正弦波電源經全波整流後電壓峰值 V
p
以電容器 C 濾波,接到負載 R
L
,其輸出電壓的平均值(即直流)V
DC
可用下列哪一個式子來表示?
(A)
(B)
(C)
(D)
。
正確答案:
登入後查看