阿摩線上測驗
登入
首頁
>
船用電機與自動控制(概要)
>
111年 - 111 海岸巡防特種考試_三等_海洋巡護科輪機組:船用電機與自動控制#110254
> 申論題
題組內容
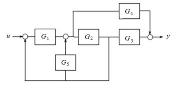
三、假設 G
1
, …, G
5
皆為純量轉移函數。
(一)求轉移函數 y/u。(15 分)
相關申論題
(一)該峰值轉矩的值是多少(以 N-m 為單位)?(15 分)
#472080
(二) R2 的值是多少(單位為 Ω)?(10 分)
#472081
(一)此時會消耗多少電流(以 A 為單位)?(10 分)
#472082
(二)此時轉動的速度有多快(radians/second)?(15 分)
#472083
(二)畫出簡化後的方塊圖。(10 分)
#472085
(一)寫出電路的真值表。請使用輸入 r 表示紅色,y 表示黃色,g 表示綠 色,輸出 v 表示交通燈組合是否有效。(10 分)
#472086
(二)根據真值表,請編寫一個布林表達式來描述輸出 v。 (15 分)
#472087
四、交流發電機並聯運轉時,需設有逆功率保護(reverse power protection) 裝置,請問在何種狀況下,逆功率保護裝置會啟動?其作動之程序為何?(25 分)
#551123
三、下方之數位邏輯電路圖,有 A、B、C 三個輸入變數,一個輸出變數 Y,請依下列數位邏輯電路,列出此邏輯電路的真值表(truth table),並依真值表推導輸出 Y 的結果。(25 分)
#551122
(二)轉子磁場對轉子而言之相對速度。
#551121
相關試卷
115年 - 115年第一次航海人員測驗【602】二等管輪【000022】船用電機與自動控制概要#138328
115年 · #138328
115年 - 115-1 航海人員測驗 _ 一等管輪:船用電機與自動控制#137837
115年 · #137837
114年 - 114-4 航海人員測驗_二等管輪:船用電機與自動控制概要#133727
114年 · #133727
114年 - 114-4 航海人員測驗 _ 一等管輪:船用電機與自動控制#133524
114年 · #133524
114年 - 114-3 航海人員測驗_一等管輪:船用電機與自動控制概要#130590
114年 · #130590
114年 - 114-3 航海人員測驗_二等管輪:船用電機與自動控制概要#130417
114年 · #130417
114年 - 114 海岸巡防特種考試_三等_海洋巡護科輪機組:船用電機與自動控制#129555
114年 · #129555
114年 - [無官方正解]114-2 航海人員測驗_二等管輪:船用電機與自動控制概要#128256
114年 · #128256
114年 - 114-2 航海人員測驗_一等管輪:船用電機與自動控制#127546
114年 · #127546
114年 - 114-1 航海人員測驗_二等管輪:船用電機與自動控制概要#125848
114年 · #125848