題組內容
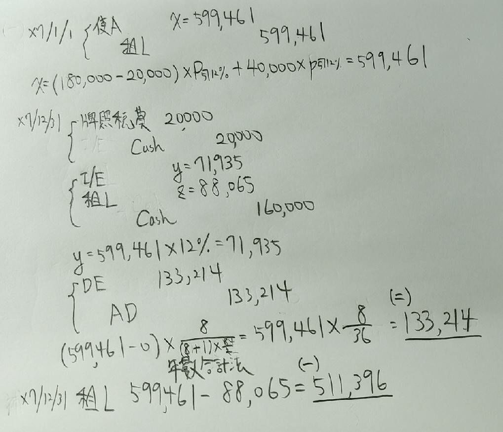
二、甲公司於 X7 年 1 月 1 日向丁公司承租汽車一部,租期 5 年,每年租 金$180,000 並於年底支付,該租金包含每年牌照稅等費用$20,000。 甲公司於租期屆滿時得以$40,000 承購該汽車,且可合理確定將行使 該選擇權。假設租賃開始日承租人的增額借款利率為 10%,出租人的 隱含利率為 12%(承租人已知) 。該汽車的耐用年限為 8 年,8 年後 估計殘值$0,而租期屆滿時估計殘值$90,000,甲公司以年數合計法 提列折舊。 
(一)甲公司 X7 年 12 月 31 日的「租賃負債」餘額為何?
詳解 (共 1 筆)
詳解