阿摩線上測驗
登入
首頁
>
台電◆基本電學
>
112年 - 112 台灣電力公司_新進僱用人員甄試:專業科目 B(基本電學)#114251
> 申論題
題組內容
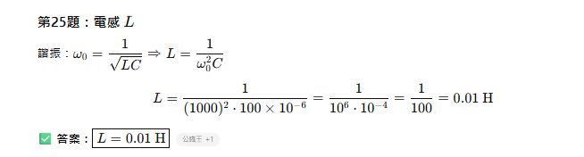
3.某串聯諧振電路如【圖14】所示,已知諧振發生當下R = 10 Ω, C = 100 μF,v(t) = 100 sin (1000 t),試求:
(3 題,每題 5 分,共 15 分)
(1) 電感 L 值
詳解 (共 1 筆)
詳解
提供者:已上榜,感謝阿摩(連三榜)
相關申論題
1.如【圖 1】所示之電路,r 皆為 10 歐姆(Ω),則 a、b 兩端的等效電阻為____歐姆(Ω)。
#488152
2.如【圖 2】所示之電路,則 a、b 兩端的電壓為____伏特(V)。
#488153
3.若將平板電容器極板面積增加為原來的 2 倍,並將極板間的距離改變為原來的 4 倍,且介電係數不變,則改變後的電容器之電容值為原來的____倍。
#488154
4.有一三相平衡電源,當接至平衡三相 Y 接負載時,負載總消耗功率為 1,000 瓦特(W),若外接電壓與負載每相阻抗不變情況下,將負載改為△連接,且負載仍能正常工作,則負載總消耗 功率為____瓦特(W)。
#488155
5.有一純電阻之直流電路,當電源之電流調整為原來的 2 倍時,其電路之消耗功率為原來 之____倍。
#488156
6.如【圖 3】所示,其戴維寧等效電路 Rth為____歐姆(Ω)。
#488157
7.如【圖 4】所示之電路,電流 I 為____安培(A)。
#488158
8.有效值為 200 V 之交流弦波電源,若調整其電源頻率,使流入一 RLC 並聯電路之總電流為最小,其中 R = 20 Ω,L = 80 mH,C = 200 μF,則請問該電源總消耗功率為____瓦特(W)。
#488159
9.如【圖 5】所示之電路,RL可自電源側獲取最大功率為____瓦特(W)。
#488160
10.如【圖 6】所示之電路,VA點的電壓為____伏特(V)。
#488161
相關試卷
114年 - 114 台灣電力公司_新進僱用人員甄試試題_專業科目 B:基本電學#127007
114年 · #127007
113年 - 113 台灣電力公司_高職技術類科獎學金甄選:基本電學#129412
113年 · #129412
113年 - 113 台灣電力公司_新進僱用人員甄試試題_專業科目 B:基本電學#119794
113年 · #119794
112年 - 112 台灣電力公司_新進僱用人員甄試:專業科目 B(基本電學)#114251
112年 · #114251
111年 - 111 台灣電力公司_新進僱用人員甄試:專業科目 B(基本電學)#107783
111年 · #107783
110年 - 110 台灣電力公司_新進僱用人員甄試:專業科目 B(基本電學)#98717
110年 · #98717
109年 - 109 台灣電力公司_新進僱用人員甄試:基本電學#86389
109年 · #86389
108年 - 108 台灣電力公司_新進僱用人員甄試:基本電學#78725
108年 · #78725
107年 - 107-12 台灣電力公司_新進僱用人員甄試:基本電學#73747
107年 · #73747
107年 - 107-05 台灣電力公司_新進僱用人員甄試:基本電學#68961
107年 · #68961