阿摩線上測驗 登入

申論題資訊

試卷:109年 - 109-1 行政院原子能委員會_輻射防護師:游離輻射防護專業#85532
科目:輻射防護師◆游離輻射防護專業
年份:109年
排序:0

題組內容

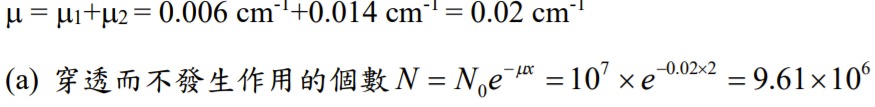
2. 若一 2 cm 厚之介質內均勻混合有 2 種成分,其對 100 keV 光子之直線衰減係數分別為 μ1=0.006 cm-1、 μ2=0.014 cm-1,今有 107 個 100 keV 之光子入射此介質,請問:

申論題內容

(a)有多少會穿透而不發生作用?

詳解 (共 2 筆)

詳解 提供者:Yu Chun Hsiao

請問為什麼直線衰減係數是直接相加?

跟質量衰減係數題目的算法完全不同@@

有人可以解釋嗎 非常感謝><

詳解 提供者:天青青水藍藍

5181303-6261eae137eec.jpg