阿摩線上測驗
登入
首頁
>
研究所、轉學考(插大)-微積分
>
107年 - 107 國立臺北大學日間學士班暨進修學士班轉學生招生考試_統計學系日間學士班二、三年級:微積分#116789
> 申論題
申論題
試卷:107年 - 107 國立臺北大學日間學士班暨進修學士班轉學生招生考試_統計學系日間學士班二、三年級:微積分#116789
科目:研究所、轉學考(插大)-微積分
年份:107年
排序:0
申論題資訊
試卷:
107年 - 107 國立臺北大學日間學士班暨進修學士班轉學生招生考試_統計學系日間學士班二、三年級:微積分#116789
科目:
研究所、轉學考(插大)-微積分
年份:
107年
排序:
0
題組內容
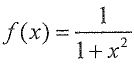
3. Let
,0≤x≤1;and P=
be a partition of [0, 1].
申論題內容
(a) (7%) Calculate the upper sum U(f,p) and the lower sum L(f,p) of f over the partition P. Rounded the answers to the third decimal place.