阿摩線上測驗
登入
首頁
>
研究所、轉學考(插大)◆統計學
>
108年 - 109東吳大學_碩士班招生考試_國際經營與貿易學系:統計學#101157
> 申論題
題組內容
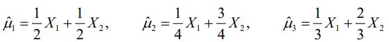
7. 假設 X
1
與 X
2
代表抽自一母體的隨機樣本,且該母體的平均數為μ,變異數為 σ
2
。考慮母體平均數μ的三個點估計量如下:
(a).以上三個點估計量是否具有不偏性,為什麼?
相關申論題
(a). Construct a histogram for the data.
#424030
(b). Find the median and the mean for the data.
#424031
(c). Which value, mean or median, is a better measure of the center in this case? Explain.
#424032
(a). Is X a binomial random variable, why?
#424033
(b). What is the probability that out of the 5 randomly selected students exactly 2 are male?
#424034
(c). What is the expected number of male students in a random sample of 100?
#424035
(a)
#424036
(b)
#424037
(c)
#424038
(d)
#424039
相關試卷
113年 - 113 國立臺灣大學_碩士班招生考試:工程統計#119664
113年 · #119664
112年 - 112 國立臺灣大學_碩士班招生考試試題:工程統計#119662
112年 · #119662
111年 - 111 國立臺灣科技大學_碩士班招生試題:統計學(C)#120895
111年 · #120895
110年 - 110 國立陽明交通大學_碩士班考試入學試題:統計學#121574
110年 · #121574
110年 - 110 國立臺灣科技大學_碩士班招生試題_企業管理系:統計學#111322
110年 · #111322
110年 - 110 國立臺灣大學_碩士班招生考試_部分系所:統計學(H)#111297
110年 · #111297
110年 - 110 國立政治大學_碩士班暨碩士在職專班招生考試_財政所:統計學#110890
110年 · #110890
110年 - 110 國立高雄科技大學_碩士班招生考試_工業工程與管理系:統計學#110420
110年 · #110420
110年 - 110 國立政治大學_碩士班招生考試_財政研究所:統計學#107983
110年 · #107983
110年 - 110 國立政治大學_碩士班招生考試_ 國際經營與貿易學系:統計學#106074
110年 · #106074