阿摩線上測驗
登入
首頁
>
公職◆渠道水力學
>
95年 - 95 高等考試_三級_水利工程:渠道水力學#33780
> 申論題
題組內容
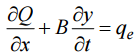
二、一維明渠流之連續方程式:
⑴於不規則渠道橫斷面時,請繪示意圖定義 B 的大小,並列其定義式說明。 其中 Q 為流量、y 為水深、x 為流向座標、t 代表時間。(5 分)
相關申論題
一、⑴水躍發生的上下游條件各為何種流況?(5 分)
#84141
⑵水躍計算的推導式通常使用動量原理抑或能量方程式?理由為何?(5 分)
#84142
⑶若在發生水躍長度區域內增加底床粗糙度或消能塊,則會如何影響上下游的水深 比?(5 分)
#84143
⑶此連續方程式與另一連續方程式 Q = A1V1 = A2V2的關係為何?(5 分)
#84146
三、⑴請隨意舉一明渠流之水深流速剖面公式v(y)=?(提示:如冪次式或對數式)(5 分)
#84147
⑵說明當渠寬漸窄而有邊壁影響時,請繪示意圖表示此流速剖面改變的趨勢及其原 因?(10 分)
#84148
四、⑴灌溉「系統」與排水「系統」,若皆為人工渠道系統,則兩「系統」之主要差異 為何?(簡答)(5 分)
#84149
⑵上述兩人工渠道系統與自然河道的主要水理差異為何?(簡答)(5 分)
#84150
⑶一維水理模式可否算出彎道水面的超高?理由為何?(5 分)
#84151
五、有一 6 m 寬的矩形渠道,其流量為 15 cms,水深 2.5 m,若下游底床突增高 0.2 m, 請估算下游的水深以及水位的立即變化,並說明你的所有假設。(20 分)
#84152
相關試卷
114年 - 114 地方政府公務特種考試_三等_水利工程:渠道水力學#134750
114年 · #134750
114年 - 114 專技高考_水利工程技師:渠道水力學#133580
114年 · #133580
114年 - 114 高等考試_二級_水利工程:渠道水力學#131584
114年 · #131584
114年 - 114 高等考試_三級_水利工程:渠道水力學#128731
114年 · #128731
113年 - 113 地方政府公務特種考試_三等_水利工程:渠道水力學#124529
113年 · #124529
113年 - 113 專技高考_水利工程技師:渠道水力學#123919
113年 · #123919
113年 - 113 高等考試_二級_水利工程:渠道水力學#123047
113年 · #123047
113年 - 113 高等考試_三級_水利工程:渠道水力學#121492
113年 · #121492
112年 - 112 地方政府特種考試_三等_水利工程:渠道水力學#118350
112年 · #118350
112年 - 112 專技高考_水利工程技師:渠道水力學#117621
112年 · #117621