阿摩線上測驗
登入
首頁
>
統計學
>
105年 - 105 關務特種考試_三等_關稅統計:統計學#50099
> 申論題
申論題
試卷:105年 - 105 關務特種考試_三等_關稅統計:統計學#50099
科目:統計學
年份:105年
排序:0
申論題資訊
試卷:
105年 - 105 關務特種考試_三等_關稅統計:統計學#50099
科目:
統計學
年份:
105年
排序:
0
題組內容
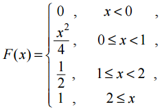
三、令 X 為一個具有累積分配函數 F(x)的混合隨機變數
申論題內容
⑴說明隨機變數 X 的機率密度函數,並計算 X 的平均數。(15 分)