阿摩線上測驗
登入
首頁
>
公職◆資料結構
>
107年 - 107 地特三等 資料結構#73482
> 申論題
申論題
試卷:107年 - 107 地特三等 資料結構#73482
科目:公職◆資料結構
年份:107年
排序:0
申論題資訊
試卷:
107年 - 107 地特三等 資料結構#73482
科目:
公職◆資料結構
年份:
107年
排序:
0
題組內容
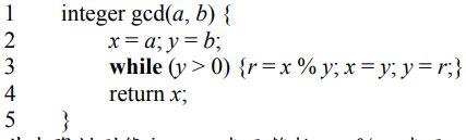
一、計算正整數 a 和 b 的最大公因數 gcd(a, b)的演算法,以類似 C 語言表示 如下:
其中資料型態 integer 表示整數,x % y 表示 x 除以 y 的餘數。請回答下 列問題:(每小題 10 分,共 20 分)
申論題內容
⑴請證明:輸入任意兩個正整數,此程式執行一定時間後就會停止,不 會造成無窮迴圈。