阿摩線上測驗
登入
首頁
>
教甄◆物理科專業
>
102年 - 新竹市立成德高級中學102年度教師甄試物理科試題卷#77370
> 申論題
題組內容
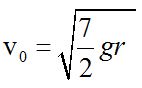
4.長r之繩一端繫一小球,另一端固定使小球作鉛直面圓弧運動,以圓心為座標原點, 若在最低點的速率為
,求:
(1)小球脫離圓弧軌道的位置(x,y)。(6分)
相關申論題
⑴斜面施於木塊的正向力量值。(5分)
#313349
⑵木塊的加速度量值。(5分)
#313350
(1)停止不動的位置。(6分)
#313351
(2)全部的振動時間。(4分)
#313352
⑴計算地面摩擦力施於汽車的衝量量值。(5分)
#313353
⑵計算地面摩擦力對汽車作功之值。(5分)
#313354
(2)脫離圓弧軌道後,繩再度拉緊需經過多少時間。(4分)
#313356
(1)上述過程,兩圓盤系統的質心位移為dc ,外力在繩子上作用點的位移為 d,寫出 dc與 、d的關係式。(2分)
#313357
(2)計算時間t=t 時,兩圓盤系統的質心速度。(3分)
#313358
(3)計算兩圓盤作完全非彈性碰撞所損失的力學能。(5分)
#313359
相關試卷
115年 - 115-1 臺中市立豐原高級中等學校_教師甄試試題:物理科#138731
115年 · #138731
115年 - 115-1 臺中市立文華高級中等學校_教師甄選專業知能試題:物理科#138719
115年 · #138719
115年 - 115-1 國立嘉科實驗高級中學_教師甄選試題_高中部:物理科#138701
115年 · #138701
115年 - 115-1 臺南市立沙崙國際高級中學高中部_教師甄選試題:物理科#138688
115年 · #138688
115年 - 115-1 國立屏科實驗高級中等學校_教師甄選:高中物理科#138650
115年 · #138650
115年 - 115-1 臺北市立大同高級中學_教師甄選初選試題:高中物理科#138592
115年 · #138592
115年 - 115-1 臺北市立大安高工教師甄選試題:物理科#138454
115年 · #138454
115年 - 115-1 國立臺灣師範大學附屬高級中學_專任教師甄選試題:物理科#138401
115年 · #138401
115年 - 115-1 國立臺南第一高級中學_教師甄選初試試題:物理科#138371
115年 · #138371
115年 - 115-1 臺北市立第一女子高級中學_正式教師甄選測驗題:物理科#138075
115年 · #138075