阿摩線上測驗
登入
首頁
>
統計學
>
103年 - 103 關務特種考試_三等_關稅統計:統計學#43587
> 申論題
申論題
試卷:103年 - 103 關務特種考試_三等_關稅統計:統計學#43587
科目:統計學
年份:103年
排序:0
申論題資訊
試卷:
103年 - 103 關務特種考試_三等_關稅統計:統計學#43587
科目:
統計學
年份:
103年
排序:
0
題組內容
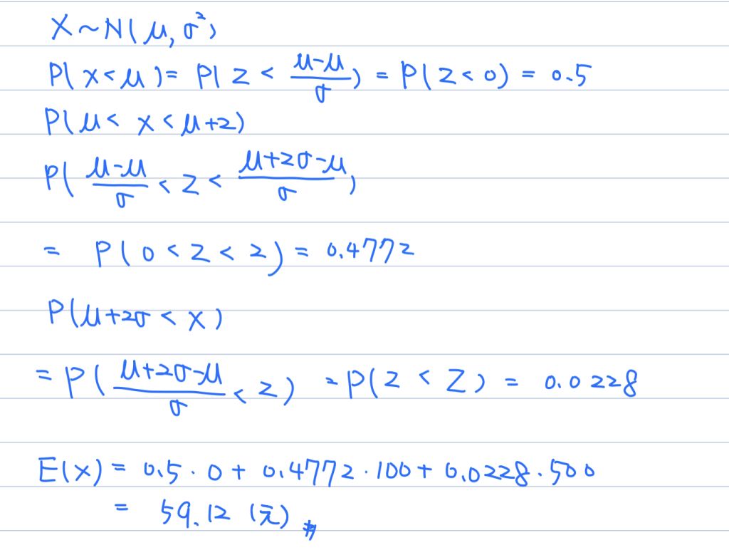
一、令隨機變數 X 為常態分配,期望值為 μ 且變異數為 σ
2
。自此分配隨機抽取一數值(x)。
若 x < μ,則獎金為 0,
若 μ < x < μ+ 2 σ,則獎金為 100,
若 μ + 2 σ < x < ∞ ,則獎金為 500。
申論題內容
⑴試計算期望獲得的獎金。(6 分)
詳解 (共 1 筆)
詳解
提供者:Sam