阿摩線上測驗
登入
首頁
>
自動控制學
>
96年 - 096年高等一級暨二級自動控制學#50852
> 申論題
申論題
試卷:96年 - 096年高等一級暨二級自動控制學#50852
科目:自動控制學
年份:96年
排序:0
申論題資訊
試卷:
96年 - 096年高等一級暨二級自動控制學#50852
科目:
自動控制學
年份:
96年
排序:
0
題組內容
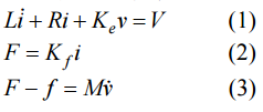
二、直流無刷線性馬達(linear DC brushless motor)之運動方程式可描述如下:
其中
L(電感) = 0.0028 H,R(電阻) = 0.5 Ω,K
e
(電氣常數) = 23 V/(m/sec),V(施加
電壓),I(電流),v(馬達速度),F(驅動力),f(摩擦力),K
f
(力量常數)
= 23 N/A,M(馬達質量) = 0.5 kg,
申論題內容
⑴請畫出速度迴路之方塊圖(the velocity loop block diagram)。(10 分) (提示:輸入 V,輸出 v)