阿摩線上測驗
登入
首頁
>
自動控制學
>
100年 - 100年地方三等考試-三等自動控制#45160
> 申論題
申論題
試卷:100年 - 100年地方三等考試-三等自動控制#45160
科目:自動控制學
年份:100年
排序:0
申論題資訊
試卷:
100年 - 100年地方三等考試-三等自動控制#45160
科目:
自動控制學
年份:
100年
排序:
0
題組內容
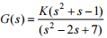
二、對於一單位負迴授控制系統(unity negative feedback closed loop control system), K ( s 2 + s − 1) 其開路轉移函數為
,K 為放大器增益。 ( s − 2 s + 7) 2
申論題內容
⑴調整比例增益(proportional gain)K,使該單位負迴授控制系統之穩定條件(stability conditions)為何?(10 分)