阿摩線上測驗
登入
首頁
>
高等資料庫設計
>
99年 - 99 高等考試_二級_資訊處理:高等資料庫設計#46291
> 申論題
題組內容
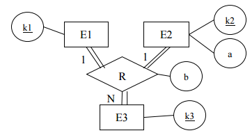
二、考慮以下的實體關係圖(ERD):
若轉成關聯綱目 R(k1, k2, k3, a, b),
⑴請列出所有 R 的關聯鍵(key),並說明之。(10 分)
相關申論題
⑴假如我們使用以下的敘述建立 FriendRelation 資料表: CREATE TABLE FriendRelation ( mId CHAR(10) NOT NULL, setDateTime DATETIME NOT NULL, friend CHAR(10), PRIMARY KEY(mId, setDateTime)) 顯然外鍵(foreign key)並未設定,請為 mId 和 friend 設定外鍵,其中若一位會 員 之 編 號 ( Member(mId) ) 被 修 改 , 不 管 是 出 現 在 FriendRelation(mId) 或 FriendRelation(friend),都必須跟著被修改;若一位會員的 Member 記錄被刪除, 且其編號出現在 FriendRelation(mId),則該筆 FriendRelation 記錄也跟著被刪除, 但若其編號出現在 FriendRelation(friend),則將該欄位值設成空值(null)。請使 用 SQL-99 語法來修改資料表 FriendRelation 以達成此目的。(10 分)
#157568
⑵請用一個 SQL-99 敘述(Oracle、SQL Server 或 MySQL 的 SQL 語法也可,但需 指明)列出以下每個資料需求。 1.列出被最多會員列為好友的會員之編號、姓名和生日。(10 分) 2.對於每一位在 2009 年發表超過 10 篇文章的會員,列出其每一篇於 2010 年發 表的文章之 mId, aId, title 和回覆數。(10 分)
#157569
⑵請進行第三正規化(3NF)。(10 分)
#157571
⑴請列出以上 DOM tree 的 XML schema。(10 分)
#157572
⑵請列出以上 DOM tree 的 XML document。(10 分)
#157573
⑴請列出一個排程(schedule),它不是順序的(serial)卻是可順序的(serializable)。 (5 分)
#157574
⑵請列出一個排程,它雖是可順序的,卻可能有髒讀(dirty read)的問題。(7 分)
#157575
⑶請列出一個排程,它不是順序的(serial)但可由嚴格兩階段鎖定法(strict 2PL) 所產生。(8 分)
#157576
⑷請列出一個可由嚴格兩階段鎖定法產生,卻會造成死結(deadlock)的排程。 DBMS 處理死結的方式有那些?(10 分)
#157577
四、關聯式資料庫雖然被廣為使用,但是不同類型的資料庫也日漸受到重視,其中包含文件資料庫(Document Database)和圖形資料庫(Graph 。請針對此兩種類型,分別提供一個代表性的系統軟體,並詳 Database) 述該軟體處理的資料型態為何,以及舉例說明合適的應用場景。 (25 分)
#554149
相關試卷
114年 - 114 高等考試_二級_資訊處理:高等資料庫設計#131593
114年 · #131593
113年 - 113 高等考試_二級_資訊處理:高等資料庫設計#123072
113年 · #123072
112年 - 112 高等考試_二級_資訊處理:高等資料庫設計#116764
112年 · #116764
111年 - 111 高等考試_二級_資訊處理:高等資料庫設計#111030
111年 · #111030
110年 - 110 高等考試_二級_資訊處理:高等資料庫設計#101891
110年 · #101891
109年 - 109 高等考試_二級_資訊處理:高等資料庫設計#91516
109年 · #91516
108年 - 108 高等考試_二級_資訊處理:高等資料庫設計#79565
108年 · #79565
106年 - 106 高等考試_二級_資訊處理:高等資料庫設計#65627
106年 · #65627
104年 - 104 高等考試_二級_資訊處理:高等資料庫設計#41813
104年 · #41813
103年 - 103 高等考試_二級_資訊處理:高等資料庫設計#43073
103年 · #43073