Problem 2 A air-filled coaxial with dimensions as shown in the following figure:

Figure (c) a coaxial transmission line with signal carrying conductor of radius a inside the surrounding ground of radius b.
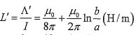
The inductance per unit length is
(H/m), Here we have assumed that the current 8元 2元 inside the signal-carrying conductor is uniformly distributed.And, the capacitance per unit length is 