阿摩線上測驗 登入

申論題資訊

試卷:110年 - 110 國立中山大學碩士暨碩士專班招生考試_應數系碩士班/甲組:機率與統計#105484
科目:研究所、轉學考(插大)◆機率與統計
年份:110年
排序:0

題組內容

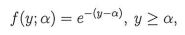
6. Let Y1, Y2, ... ,Yk, be a random sample of size k having the following density function61d3daf489c1a.jpg and f(y; a) = 0 otherwise.

申論題內容

a. [7%] Find a method of moments estimator for a in terms of the sample mean.