阿摩線上測驗
登入
首頁
>
控制系統
>
110年 - 110 高等考試_二級_電力工程:控制系統#101931
> 申論題
題組內容
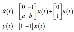
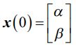
一、有一線性非時變系統之動態方程式如下所示:
且系統狀態之初值為
(一)令 a、 b、 α 與 β 為給定之常數,並利用拉普拉斯轉換( Laplace transformation)之技術可求得 Y ( s) = H ( s )U ( s ) + G ( s ),其中 U(s)與 Y(s)分別為輸入 u(t)與輸出 y(t)的拉普拉斯轉換式,試求出 H ( s ) 及 G ( s ) 。
相關申論題
(二)若α= 1與 β= 0,且系統輸入為 u ( t ) = 1,t ≥ 0,若所求得之輸出可表示為,試求出 a,b,與 J ( s ) 。
#427910
(一)求 H ( s ) =?
#427911
(二)若此閉迴路系統為穩定,且有一特徵根為 - 1 時,則 K1 與 K 2 之關係式 為何?
#427912
(三)於(二)條件下, K2 之範圍為何?
#427913
(一)請畫出根值軌跡圖(root locus plot),並標示極點與零點。
#427914
(二)在極點上的離開角(departure angle)為何?
#427915
(三)根值軌跡進入實軸之分離點(break-in point)為何?
#427916
(四)此分離點所對應的 K=?
#427917
(五)閉迴路系統穩定時,K 值範圍為何?
#427918
(一)請利用 M 、 m 、 L 、 g 來表示 a1 , a2 ,與 b 。
#427919
相關試卷
114年 - 114 高等考試_二級_電力工程:控制系統#131606
114年 · #131606
113年 - 113 高等考試_二級_電力工程:控制系統#123078
113年 · #123078
112年 - 112 高等考試_二級_電力工程:控制系統#116766
112年 · #116766
111年 - 111 高等考試_二級_電力工程:控制系統#111038
111年 · #111038
110年 - 110 高等考試_二級_電力工程:控制系統#101931
110年 · #101931
109年 - 109 高等考試_二級_電力工程:控制系統#91548
109年 · #91548
108年 - 108 高等考試_二級_電力工程:控制系統#79579
108年 · #79579
107年 - 107 第十八屆TAIROA社團法人台灣智慧自動化與機器人協會_自動化工程師證照考試_Level 2/機器人中階:控制系統#72749
107年 · #72749
107年 - 107 高等考試_二級_電力工程:控制系統#72396
107年 · #72396
106年 - 106 高等考試_二級_電力工程:控制系統#65249
106年 · #65249