阿摩線上測驗
登入
首頁
>
高考◆大氣物理學
>
112年 - 112 高等考試_三級_氣象:大氣物理學(包括大氣輻射與雲物理)#115665
> 申論題
題組內容
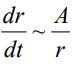
四、凝結成長的粒徑變化率可簡化為
;碰撞成長的粒徑變化率可簡化為
。請利用以上公式說明:
(一)凝結成長會使雲滴的粒徑分布變窄或變寬?(7分)
相關申論題
(一)高度 z 處的光程為何?
#494346
(二)高度 z 處的透射率為何?此公式稱為什麼定律?
#494347
二、(一)地表向太空放射的紅外線輻射,主要被大氣中何種氣體吸收?(4分)
#494348
(二)人為溫室效應主要是那幾種氣體所造成(列出至少4種)?(6分)
#494358
(三)下圖中,海平面無雲狀態下量到的太陽輻射光譜,其能量強度比在大氣層外所測量的弱了許多。其間的差值有一部分是因為H2O、CO2、O3等氣體的吸收;其他的差值如何解釋?(5分)
#494349
三、對於「火燒雲」這個現象,一個科普媒體有以下的描述: 「火燒雲是在日出或日落時在天邊出現的有色雲霞,常出現在夏季雷雨發生過後。」請根據大氣輻射原理,闡釋「火燒雲」形成的原理,特別針對以下幾個關鍵字作說明:日出或日落、有色的雲霞、雷雨發生過後。(15分)
#494350
(二)碰撞成長會使雲滴的粒徑分布變窄或變寬?(8分)
#494352
(一)說明造成冰晶成長習性的機制。
#494353
(二)冰晶成長習性對降水的形成有那些影響?
#494354
(一)雨滴碰撞成長
#494355
相關試卷
112年 - 112 高等考試_三級_氣象:大氣物理學(包括大氣輻射與雲物理)#115665
112年 · #115665
111年 - 111 高等考試_二級_氣象:大氣物理化學#110964
111年 · #110964
111年 - 111 高等考試_三級_氣象:大氣物理學(包括大氣輻射與雲物理)#109787
111年 · #109787
110年 - 110 高等考試_三級_氣象:大氣物理學(包括大氣輻射與雲物理)#102809
110年 · #102809
109年 - 109 高等考試_三級_氣象:大氣物理學(包括大氣輻射與雲物理)#88740
109年 · #88740
108年 - 108 高等三級 大氣物理學(包括大氣輻射與雲物理)#78043
108年 · #78043
107年 - 107 高考三級 大氣物理學(包括大氣輻射與雲物理)#71022
107年 · #71022
106年 - 106年公務人員高等考試三級-大氣物理學(包括大氣輻射與雲物理)#62963
106年 · #62963
104年 - 104年高等三級暨普通考高考三級_氣象- 大氣物理學(包括大氣輻射與雲物理)#23982
104年 · #23982
103年 - 103年高等三級暨普通考高考三級_氣象#24120
103年 · #24120