阿摩線上測驗 登入

申論題資訊

試卷:113年 - 113 專技高考_水利工程技師:水利工程(包括海岸工程、防洪工程與排水工程)#123917
科目:水利工程
年份:113年
排序:0

題組內容

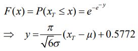
二、極端值第一型分布(extreme value type I distribution)又稱為甘保分布(Gumbel distribution)
,如下式所示,為選取統計資料中之極值進行統計,因此在水文分析中常被用來推估水文量:
其中 x 為大於某事件 xT 之水文量。

申論題內容

(一)進行水文分析時,需先選取合適之水文資料已進行後續之頻率分析工作,請說明水文資料之選取方式有那些?(10 分)