阿摩線上測驗
登入
首頁
>
有機化學
>
113年 - 113 調查特種考試_三等_化學鑑識組、醫學鑑識組:有機化學#122084
> 申論題
題組內容
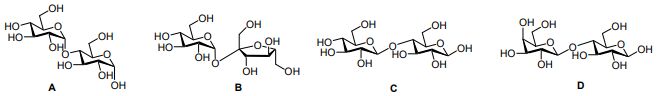
八、下列有四種雙醣 A、B、C、D,請回答下列問題:
(三)那一個結構是乳糖?
相關申論題
(三)如何分辨(c)中化合物 E 和 F。
#519680
(四)如何分辨(d)中化合物 G 和 H。
#519681
(五)如何分辨(e)中化合物 I 和 J。
#519682
(一)寫出此兩個異構物的結構。
#519683
(二)此兩個異構物中,那一個是比較穩定的化合物。(2 分)
#519684
(三)其中那一個化合物在高溫下會進行脫水反應。(2 分)
#519685
(四)承子題(三),寫出該脫水化合物的結構。(2 分)
#519686
七、根據下列兩個化合物,其碳-碳鍵的長度分別以 a、b,c、d 標示,請回 答下列問題: (一)將碳-碳鍵的長度由短到長排列。
#519687
(二)承子題(一),請解釋其原因。(6 分)
#519688
(一)那一個結構是麥芽糖?
#519689
相關試卷
114年 - 114 公務升官等考試_薦任_化學工程:有機化學#133257
114年 · #133257
114年 - 114 調查特種考試_三等_化學鑑識組、醫學鑑識組:有機化學#129586
114年 · #129586
114年 - 114 一般警察特種考試_二等_刑事鑑識人員材料及化學物品鑑析組:有機化學#127790
114年 · #127790
114年 - 114 關務特種考試_三等_化學工程(選試英文):有機化學#126661
114年 · #126661
114年 - 114 關務特種考試_四等_化學工程(選試英文):有機化學概要#126655
114年 · #126655
113年 - 113 調查特種考試_三等_化學鑑識組、醫學鑑識組:有機化學#122084
113年 · #122084
113年 - 113 關務特種考試_三等_化學工程(選試英文):有機化學#119488
113年 · #119488
113年 - 113 關務特種考試_四等_化學工程(選試英文)、化學工程(選試日文):有機化學概要#119484
113年 · #119484
112年 - 112 地方政府特種考試_四等_化學工程:有機化學概要#118363
112年 · #118363
112年 - 112 地方政府特種考試_三等_化學工程:有機化學#118140
112年 · #118140