題組內容
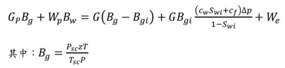
五、單相天然氣儲集層物質平衡方程式以下列算式表示,請回答下列問題:(計算至小數點後 第 3 位,以下四捨五入)(20 分)
(二)假設一耗竭型單相天然氣儲集層經過多年生產後,石油公司要轉為地下儲氣窖 (Underground Gas Storage)使用,其歷史生產資料如下:
(1)計算該天然氣層的原始天然氣埋藏量(Origional Gas in Place)(6 分) (2)計算當儲集層壓力下降至 300 psia 時的採收率(6 分) (3)說明利用
對
作圖法,求水驅型(Water Drive)單相天然氣儲集層的原始天然氣埋 藏量(OGIP),會發生什麼結果及理由(4 分)