題組內容
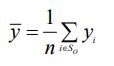
三、簡單隨機抽樣可分為取出不放回及取出放回兩大類,樣本觀察值之平均在兩種設計中均為母體平均 µ 之不偏估計,若樣本數為 n,So 為樣本集合,該不偏估計為
請回答下列問題:
(二)在取出放回的設計中有另外一個母體平均 µ 之不偏估計,該估計為 樣本中不同單元觀察值之平均,亦即若有重複出現之單元,其觀察值 只會被計入一次,該不偏估計量為
其中 s 為 So 中不同單元所構成之集合,ν 為 s 中之單元數目,且 ν ≤ n。 抽樣理論中之一基本結果為在簡單隨機抽樣取出放回設計中,
亦較
相對較有效,請說明其理由。(5分)