阿摩線上測驗 登入

申論題資訊

試卷:108年 - 108 地方政府特種考試_三等_化學工程:物理化學(包括化工熱力學)#81603
科目:物理化學(包括化工熱力學)
年份:108年
排序:0

題組內容

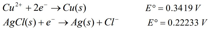
四、銅電極與銀/氯化銀電極之標準還原電位(25℃)分別如下:5dfc90ad924d8.jpg

申論題內容

(二)如果 Cu Cl 2 濃度為 0.01M,請根據 Debye–Hückel Hückel limiting law
law(註:5dfc9111255e3.jpg
,其中
, γ ± 為平均活性係數, z + 與 z 為陽離子與陰離
子之電荷數, I 為離子強度,25℃水溶液之
為離子強度 B 值為 0.51 mol1/2 dm 3 / 2 ),
計算 Cu 2 + 與 Cl 之平均活性係數。
之平均活性係數 (5 分)