題組內容
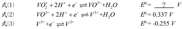
四、全釩氧化還原液流電池(VRFB)是具有潛力的儲能系統,與其相關的反 應物質在 298 K 的標準生成吉布士能
如表一。另外,以下為三 個與釩(V)相關的半反應方程式與其標準還原電位(standard reduction potentials, E0),其中式⑴與式⑶為 VRFB 電池兩極主要半反應。

上述資料待補齊,且已知法拉第常數(Faraday constant)為
, 試回答下列問題:
(二)寫出該電池在 298 K 下的全反應電動勢(E)之能斯特方程式(Nernst ,形式為 E = A - B × log {Q} + C × pH ,其中 E 的單位為伏特 equation) (V);必須求出 A、B 和 C 的值,且 A > 0、B > 0,C 未限制正負; Q 為各物質活性的關係。