阿摩線上測驗
登入
首頁
>
工程數學(應用數學, 線性代數、微分方程、複變函數與機率)
>
112年 - 112 專技高考_電機工程技師:工程數學(包括線性代數、微分方程、複變函數與機率)#117639
> 申論題
申論題
試卷:112年 - 112 專技高考_電機工程技師:工程數學(包括線性代數、微分方程、複變函數與機率)#117639
科目:工程數學(應用數學, 線性代數、微分方程、複變函數與機率)
年份:112年
排序:0
申論題資訊
試卷:
112年 - 112 專技高考_電機工程技師:工程數學(包括線性代數、微分方程、複變函數與機率)#117639
科目:
工程數學(應用數學, 線性代數、微分方程、複變函數與機率)
年份:
112年
排序:
0
題組內容
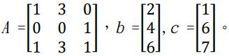
六、假設
申論題內容
(二)求解A方陣之特徵值(Eigenvalue)與其對應之單位特徵向量(NormalizedEigenvector)。(15分)