阿摩線上測驗
登入
首頁
>
自動控制學
>
110年 - 110 高等考試_三級_機械工程:自動控制#102527
> 申論題
申論題
試卷:110年 - 110 高等考試_三級_機械工程:自動控制#102527
科目:自動控制學
年份:110年
排序:0
申論題資訊
試卷:
110年 - 110 高等考試_三級_機械工程:自動控制#102527
科目:
自動控制學
年份:
110年
排序:
0
題組內容
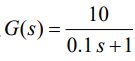
一、如下圖馬達控制系統,受控馬達之轉移函數
,其輸入為電樞電壓,輸出為轉速。馬達角度由一可變電位計量測,其轉移函數 為 K
t
=2 V/rad。
申論題內容
(二)若使用者要求系統自然頻率至少須為 20 rad/sec 且阻尼比維持 0.5,試 提出新的控制器設計以達其要求。