題組內容
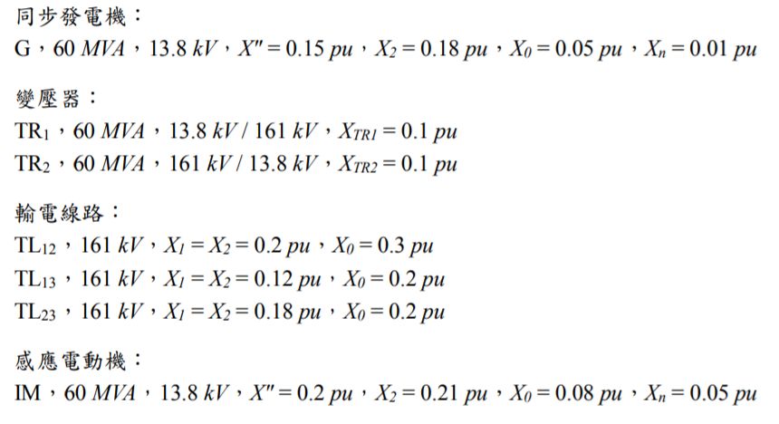
一、如【圖 1】所示,假設故障前電壓 Vf = 1.05∠0° pu,故障前負載電流及 Δ-Y 變壓器之相位 移忽略不計,三相電力系統其參數值如下所述,請回答下列問題:(計算至小數點後第 4 位, 以下四捨五入)(20 分)

(二)若匯流排 4 發生 b、c 相間直接接地故障,請以 pu 表示並計算: (1)三相之次暫態故障電流(2 分) (2)中性線故障電流(2 分) (3)電動機三相分別提供之故障電流(5 分) (4)輸電線路三相分別提供之故障電流(5 分)
詳解 (共 2 筆)
詳解
請問電動機故障電流,Im1 Im2那個分流阻抗分別是怎麼算的
詳解
