阿摩線上測驗
登入
首頁
>
控制系統
>
110年 - 110 高等考試_二級_電力工程:控制系統#101931
> 申論題
申論題
試卷:110年 - 110 高等考試_二級_電力工程:控制系統#101931
科目:控制系統
年份:110年
排序:0
申論題資訊
試卷:
110年 - 110 高等考試_二級_電力工程:控制系統#101931
科目:
控制系統
年份:
110年
排序:
0
題組內容
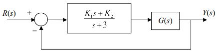
二、已知一閉迴路系統方塊圖如下圖所示:
其中
。
申論題內容
(二)若此閉迴路系統為穩定,且有一特徵根為 - 1 時,則 K
1
與 K
2
之關係式 為何?