阿摩線上測驗
登入
首頁
>
高考◆大氣動力學
>
109年 - 109 高等考試_三級_氣象:大氣動力學#88749
> 申論題
題組內容
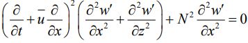
三、二維純內重力波之控制方程可簡化成:
試問:
(二)說明純內重力波之相速和群速傳播特徵。
相關申論題
(一)羅士比數(Rossby number)
#360032
(二)旋轉風(cyclostrophic wind)
#360033
(三)混合長度理論(mixing length theory)
#360034
(四)地轉風(geostrophic wind)
#360035
二、試以動力學觀點解釋為何西風噴流軸位置通常好發於中緯度(35 ~ 40°N/S)對流層頂(150 hPa)附近?
#360036
(一)利用波動假設推導上式之頻散關係式。
#360037
(一)何種情況下會產生斜壓不穩定?
#360039
(二)求最不穩定斜壓波之波長?
#360040
(三) β 效應有穩定長波功能之理由。
#360041
五、試以自然座標之梯度風方程找出正常高壓和正常低壓的解。
#360042
相關試卷
114年 - 114 公務升官等考試_薦任_氣象:大氣動力學#133182
114年 · #133182
114年 - 114 高等考試_三級_氣象:大氣動力學#128403
114年 · #128403
113年 - 113 高等考試_三級_氣象:大氣動力學#121506
113年 · #121506
112年 - 112 公務升官等考試_薦任_氣象:大氣動力學#117306
112年 · #117306
112年 - 112 高等考試_三級_氣象:大氣動力學#115412
112年 · #115412
111年 - 111 高等考試_二級_氣象:高等大氣動力學#110948
111年 · #110948
111年 - 111 高等考試_三級_氣象:大氣動力學#109426
111年 · #109426
110年 - 110 公務升官等考試_薦任_氣象:大氣動力學#103685
110年 · #103685
110年 - 110 高等考試_三級_氣象:大氣動力學#102397
110年 · #102397
109年 - 109 高等考試_三級_氣象:大氣動力學#88749
109年 · #88749