阿摩線上測驗
登入
首頁
>
自動控制學
>
110年 - 110 高等考試_三級_機械工程:自動控制#102527
> 申論題
申論題
試卷:110年 - 110 高等考試_三級_機械工程:自動控制#102527
科目:自動控制學
年份:110年
排序:0
申論題資訊
試卷:
110年 - 110 高等考試_三級_機械工程:自動控制#102527
科目:
自動控制學
年份:
110年
排序:
0
題組內容
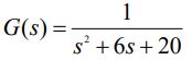
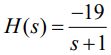
三、如下圖左方之控制系統架構,
,與
申論題內容
(二)請使用漸近線(asymptote)技術繪出 Ge(s)之近似波德圖之大小增益部分(無須繪製相位圖)。