題組內容
二、有關鈾
及釷
衰變系列,請回答下列問題:
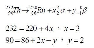
(二) 試問一個
原子衰變至氣體子核的過程,會發射出多少個阿伐粒子和貝他(β-)粒子?(5分)
詳解 (共 1 筆)
詳解
二、有關鈾
及釷
衰變系列,請回答下列問題:
(二) 試問一個
原子衰變至氣體子核的過程,會發射出多少個阿伐粒子和貝他(β-)粒子?(5分)