阿摩線上測驗 登入

申論題資訊

試卷:109年 - 109 高等考試_三級_工業工程:作業研究#88947
科目:作業研究
年份:109年
排序:0

題組內容

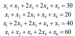
一、製造商要生產4個產品:1,2,3,4。令Cj為產品j的價格,分別為C1=40, C2=60, C3=20, C4=100。這4個產品需要在4個工廠加工。令bi為工廠i可用的資源, 分別為b1=30, b2=20, b3=40, b4=60。令xj為產品j所生產的數目(可為實 數),製造商想最大化總價格收入。此最佳化問題的線性規劃模式如下:5f1a384e1bd1f.jpg 令   x5,x6, x7,x8為相對於限制式的鬆弛(slack)變數。加入之後的式子如下:5f1a38af3ae96.jpg 已知經由simplex方法解出的最佳解為5f1a38d511f1e.jpg

申論題內容

(六)如果現在是以最佳解的方式生產,當產品1的價格增至50,產品2的價格 增至70,請問最佳解是否會改變?為什麼?