阿摩線上測驗
登入
首頁
>
研究所、轉學考(插大)◆統計學
>
110年 - 110 國立政治大學_碩士班暨碩士在職專班招生考試_財政所:統計學#110890
> 申論題
申論題
試卷:110年 - 110 國立政治大學_碩士班暨碩士在職專班招生考試_財政所:統計學#110890
科目:研究所、轉學考(插大)◆統計學
年份:110年
排序:0
申論題資訊
試卷:
110年 - 110 國立政治大學_碩士班暨碩士在職專班招生考試_財政所:統計學#110890
科目:
研究所、轉學考(插大)◆統計學
年份:
110年
排序:
0
題組內容
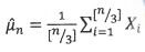
Question2(15分,5/5/5)
{X
1
,... ... ,X
n
}為一組為獨立且有共同分布(i.i.d.) 之随機變數,其平均數為μ
0
,變異數為
。
令
,其中[n/3]為n/3的整數部分。請問:
申論題內容
(1)
是否為μ
0
的不偏估計式?