題組內容
六、程式題
請依下列步驟,以 Python 程式碼撰寫,完成二元樹的輸入、建立與輸出:
2、 建立二元樹,二元樹規則為層序輸入,依序將節點長出,如果該位子為「None」 則代表此處沒有葉子,例圖如下,輸入依序為 1, 2, 3, 4, 5, 6, 7, None, None, None,8,所以樹的第一層為 1;第二層為 2、3;第三層為 4、5、6、7;第四層因輸 入的前兩項為 None,代表 4 節點的左子樹與右子樹沒有葉子,故 5 節點的左
子樹為 8:

建構樹的程式碼如下:

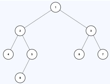
請依下列步驟,以 Python 程式碼撰寫,完成二元樹的輸入、建立與輸出:
2、 建立二元樹,二元樹規則為層序輸入,依序將節點長出,如果該位子為「None」 則代表此處沒有葉子,例圖如下,輸入依序為 1, 2, 3, 4, 5, 6, 7, None, None, None,8,所以樹的第一層為 1;第二層為 2、3;第三層為 4、5、6、7;第四層因輸 入的前兩項為 None,代表 4 節點的左子樹與右子樹沒有葉子,故 5 節點的左
子樹為 8:

建構樹的程式碼如下:

(1)請先建立「TreeNode」節點類別。TreeNode 節點類別包含左子樹、 右子樹與值
程式碼: