阿摩線上測驗
登入
首頁
>
主題課程專用
>
無年度 - 主題課程_理工學院機率論:多元隨機變數#107950
>
題組內容
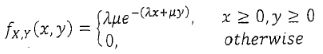
(40%) If X and Y are random variabies with joint probability density function (PDF)
,given by
(1) (6%) Piease find the marginal probability density function f
x
(x).
其他申論題
(c) (8%) Let U = X + 2Y and V = X -Y. What is the correlation coeficient of U and V?
#462905
(d) (8%) Let Z = 3X + 2Y. Derive the moment generating function . You have to give the derivation, not just the an- swer.
#462906
(a)(8%) Determine the joint p.d.f. of z and w.
#462907
(b)(8%) Find the p.d.f. fz(x) and fw(w). Are z and w independent random variables?
#462908
(2) (6%) Please find the mean of the random variable X.
#462910
(3) (6%) Are the random variables X and Y independent? Please explain your answer.
#462911
(4) (6%) Are the random variables X and Y uncorrelated? Please expl answer.
#462912
(5) (10%) Please find the cumulative density function (CDF) of a random variable W =Y/X.
#462913
(6) (6%) Please find the PDF of the random variable W = Y/X.
#462914
(a) (10%) Find the marginal pdf of X.
#462915