題組內容
8. (10%) The regression model i
X is a non-stochastic variable. We have 20 observations and list them in order:
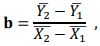
Now we have
which 
(1) Is b an unbiased estimator ofβ?
8. (10%) The regression model i
X is a non-stochastic variable. We have 20 observations and list them in order:
Now we have
which 
(1) Is b an unbiased estimator ofβ?