阿摩線上測驗
登入
首頁
>
港務局◆電學及輸配電學概要
>
106年 - 106-2 臺灣港務股份有限公司從業人員甄試_員級_電機:輸配電學概要#83309
> 申論題
題組內容
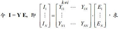
2.一輸電系統共有 N 個匯流排,假設任兩個匯流排之連接情形如圖所示,已知,
(1) Y
ik
= ?,i≠k。
相關申論題
(1) 電器設備使用額定電壓為 220V 相對於使用額定電壓為 110V,有何優缺點?
#338799
(2) 若將額定電壓為 110V 之 110W 燈泡誤插到 220V 之插座時,會有何異常結果?
#338800
(2) Yii = ?
#338802
(1) 抽蓄電廠當發電機及當負載之時機為何?
#338803
(2) 抽蓄電廠之優點為何?
#338804
4.三座火力發電廠,其單位為 $/h 之燃料成本函數為 其中 P1、P2與 P3之單位為 MW。設定調速機,使發電機均分負載。忽 略耗損及發電機極限之經濟調度情況下,當負載為 800 MW 時,試求三 座火力發電廠之發電量 P1、P2與 P3為何?
#338805
(1) 若併連 200kvar 電容器,則功率因數可以改善為何?
#338806
(2) 若要將功率因數改善為 1,則需併連多少電容器?
#338807
四、如圖【三】所示直流電路,求電流 I 為多少安培?(25分)
#539665
(2)請寫出三種臺灣電力公司在交流高壓電力用電之供電方式?(9分)
#539664
相關試卷
114年 - 114 臺灣港務股份有限公司_新進從業人員甄試試題_電機:電學及輸配電學#126790
114年 · #126790
113年 - [無官方正解]113 臺灣港務股份有限公司_新進從業人員甄試試題_電機:電學及輸配電學概要#130429
113年 · #130429
112年 - 112 臺灣港務股份有限公司_新進從業人員甄試試題_員級_電機 :電學及輸配電學概要 #114071
112年 · #114071
111年 - 111 臺灣港務股份有限公司_新進從業人員甄試試題_員級_電機:電學及輸配電學概要#113779
111年 · #113779
110年 - 110 臺灣港務股份有限公司_新進從業人員甄試試題_員級_電機 :電學及輸配電學概要#116881
110年 · #116881
109年 - 109 臺灣港務股份有限公司從業人員甄試_員級_電機:電學及輸配電學概要#116882
109年 · #116882
108年 - 108 臺灣港務股份有限公司新進從業人員甄試_員級_電機:電學及輸配電學概要#83252
108年 · #83252
107年 - 107 臺灣港務股份有限公司新進從業人員甄試_員級_電機:電學及輸配電學概要#83264
107年 · #83264
106年 - 106-2 臺灣港務股份有限公司從業人員甄試_員級_電機:輸配電學概要#83309
106年 · #83309
106年 - 106-1 臺灣港務股份有限公司從業人員甄試_員級_電機:輸配電學概要#83278
106年 · #83278