阿摩線上測驗 登入

申論題資訊

試卷:111年 - 111 國立臺灣大學轉學生招生考試試題_商、管、農、經聯招:微積分(C)#110943
科目:研究所、轉學考(插大)-微積分
年份:111年
排序:13

題組內容

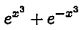
8. (10%) Let f(x)= 633a72a717325.jpg.
 Find the Taylor Series of f(x) at a = 0. __(15)__.
 Use the Taylor Series to find the value of 633a72ff19f20.jpg(0).__ (16)__.

申論題內容

(15)