阿摩線上測驗
登入
首頁
>
有機化學
>
109年 - 109 關務特種考試_三等_化學工程:有機化學#86419
> 申論題
題組內容
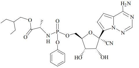
二、下圖為瑞德西韋(Remdesivir)的分子結構,用來對抗 2019 新型冠狀病毒 的一種藥物。
(2)又此化合物的
1
H NMR 光譜,會有幾組屬於甲基(methyl)的吸收峯? 它們的分裂情形與積分比應為何?(6 分)
相關申論題
(1)(S)-2-溴-1,5-戊二酸
#349248
(2) 8-碘-2-萘醇
#349249
(3)吡咯-2-甲酸
#349250
(4)(Z)-4-異丙基-3-庚烯
#349251
(5)肉桂醛
#349252
(1)請問理論上此化合物的 13C{1H} NMR 光譜,應該有多少吸收峯?(4 分)
#349253
(1)
#349255
(2)
#349256
(3)
#349257
(4)
#349258
相關試卷
114年 - 114 公務升官等考試_薦任_化學工程:有機化學#133257
114年 · #133257
114年 - 114 調查特種考試_三等_化學鑑識組、醫學鑑識組:有機化學#129586
114年 · #129586
114年 - 114 一般警察特種考試_二等_刑事鑑識人員材料及化學物品鑑析組:有機化學#127790
114年 · #127790
114年 - 114 關務特種考試_三等_化學工程(選試英文):有機化學#126661
114年 · #126661
114年 - 114 關務特種考試_四等_化學工程(選試英文):有機化學概要#126655
114年 · #126655
113年 - 113 調查特種考試_三等_化學鑑識組、醫學鑑識組:有機化學#122084
113年 · #122084
113年 - 113 關務特種考試_三等_化學工程(選試英文):有機化學#119488
113年 · #119488
113年 - 113 關務特種考試_四等_化學工程(選試英文)、化學工程(選試日文):有機化學概要#119484
113年 · #119484
112年 - 112 地方政府特種考試_四等_化學工程:有機化學概要#118363
112年 · #118363
112年 - 112 地方政府特種考試_三等_化學工程:有機化學#118140
112年 · #118140