阿摩線上測驗
登入
首頁
>
輻射防護師◆游離輻射防護專業
>
94年 - 94-1 行政院原子能委員會_輻射防護師:游離輻射防護專業#38270
> 申論題
申論題
試卷:94年 - 94-1 行政院原子能委員會_輻射防護師:游離輻射防護專業#38270
科目:輻射防護師◆游離輻射防護專業
年份:94年
排序:0
申論題資訊
試卷:
94年 - 94-1 行政院原子能委員會_輻射防護師:游離輻射防護專業#38270
科目:
輻射防護師◆游離輻射防護專業
年份:
94年
排序:
0
題組內容
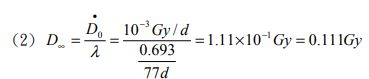
4. 假設 35S 均勻分佈於睪丸(睪丸重 18 克),其第一天之吸收劑量率為 10-3 Gy,試 計算
申論題內容
(2)無限長時間後睪丸之劑量負擔(dose commitment)?(35S 在睪丸內之有效半化期為 77 天) (10%)
詳解 (共 1 筆)
詳解
提供者:Goal