阿摩線上測驗 登入

申論題資訊

試卷:110年 - 110 國立中山大學碩士暨碩士專班招生考試_機電系碩士班/丙組:自動控制#105564
科目:研究所、轉學考(插大)◆自動控制
年份:110年
排序:0

題組內容

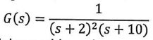
2.Consider a unity feedback system with plant transfer functio61d695105aef7.jpg and a proportional controller K, which is a positive gain.

申論題內容

(2) (10%) The control objective is damping ratio of the dominate poles is equal to 0.707. Dosign the value of K in order to reach this goal.