題組內容
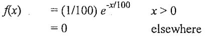
三、(10%) Electronic components of a certain type have life length (measured in hours), X, with probability density given by
Suppose that two such components operate independently in a certain system. Find the density function for U, the life length of the system, if
(2) the two components operate in parallel (5%)