題組內容
4.如【圖 15】所示,有一三相四線供電系統,Y-Y 連接,電源為正相序,供給平衡三相負載 ZL = RL + jXL = 10∠53.1o ,試求:(5 題,每題 3 分,共 15 分)
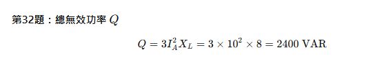
(5) 總無效功率 Q
詳解 (共 1 筆)
詳解

4.如【圖 15】所示,有一三相四線供電系統,Y-Y 連接,電源為正相序,供給平衡三相負載 ZL = RL + jXL = 10∠53.1o ,試求:(5 題,每題 3 分,共 15 分)
